|
libstdc++
|
#include <random.h>
Classes | |
| struct | param_type |
Public Types | |
| typedef _RealType | result_type |
Public Member Functions | |
| chi_squared_distribution (_RealType __n) | |
| chi_squared_distribution (const param_type &__p) | |
| template<typename _ForwardIterator , typename _UniformRandomNumberGenerator > | |
| void | __generate (_ForwardIterator __f, _ForwardIterator __t, _UniformRandomNumberGenerator &__urng) |
| template<typename _ForwardIterator , typename _UniformRandomNumberGenerator > | |
| void | __generate (_ForwardIterator __f, _ForwardIterator __t, _UniformRandomNumberGenerator &__urng, const param_type &__p) |
| template<typename _UniformRandomNumberGenerator > | |
| void | __generate (result_type *__f, result_type *__t, _UniformRandomNumberGenerator &__urng) |
| template<typename _UniformRandomNumberGenerator > | |
| void | __generate (result_type *__f, result_type *__t, _UniformRandomNumberGenerator &__urng, const param_type &__p) |
| result_type | max () const |
| result_type | min () const |
| _RealType | n () const |
| template<typename _UniformRandomNumberGenerator > | |
| result_type | operator() (_UniformRandomNumberGenerator &__urng) |
| template<typename _UniformRandomNumberGenerator > | |
| result_type | operator() (_UniformRandomNumberGenerator &__urng, const param_type &__p) |
| param_type | param () const |
| void | param (const param_type &__param) |
| void | reset () |
Friends | |
| template<typename _RealType1 , typename _CharT , typename _Traits > | |
| std::basic_ostream< _CharT, _Traits > & | operator<< (std::basic_ostream< _CharT, _Traits > &__os, const std::chi_squared_distribution< _RealType1 > &__x) |
| bool | operator== (const chi_squared_distribution &__d1, const chi_squared_distribution &__d2) |
| template<typename _RealType1 , typename _CharT , typename _Traits > | |
| std::basic_istream< _CharT, _Traits > & | operator>> (std::basic_istream< _CharT, _Traits > &__is, std::chi_squared_distribution< _RealType1 > &__x) |
A chi_squared_distribution random number distribution.
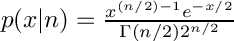
The formula for the normal probability mass function is 
| typedef _RealType std::chi_squared_distribution< _RealType >::result_type |
|
inline |
|
inlineexplicit |
|
inlineexplicit |
|
inline |
|
inline |
|
inline |
|
inline |
|
inline |
Returns the least upper bound value of the distribution.
Definition at line 2754 of file random.h.
References std::numeric_limits< _Tp >::max().
|
inline |
|
inline |
|
inline |
|
inline |
|
inline |
|
inline |
Sets the parameter set of the distribution.
| __param | The new parameter set of the distribution. |
Definition at line 2735 of file random.h.
References std::gamma_distribution< _RealType >::param().
|
inline |
Resets the distribution state.
Definition at line 2713 of file random.h.
References std::gamma_distribution< _RealType >::reset().
|
friend |
Inserts a chi_squared_distribution random number distribution __x into the output stream __os.
| __os | An output stream. |
| __x | A chi_squared_distribution random number distribution. |
__x inserted or in an error state.
|
friend |
|
friend |
Extracts a chi_squared_distribution random number distribution __x from the input stream __is.
| __is | An input stream. |
| __x | A chi_squared_distribution random number generator engine. |
__x extracted or in an error state.