libstdc++
std::student_t_distribution< _RealType > Class Template Reference

#include <random.h>

Classes

struct  param_type
 

Public Types

typedef _RealType result_type
 

Public Member Functions

 student_t_distribution (_RealType __n)
 
 student_t_distribution (const param_type &__p)
 
template<typename _ForwardIterator , typename _UniformRandomNumberGenerator >
void __generate (_ForwardIterator __f, _ForwardIterator __t, _UniformRandomNumberGenerator &__urng)
 
template<typename _ForwardIterator , typename _UniformRandomNumberGenerator >
void __generate (_ForwardIterator __f, _ForwardIterator __t, _UniformRandomNumberGenerator &__urng, const param_type &__p)
 
template<typename _UniformRandomNumberGenerator >
void __generate (result_type *__f, result_type *__t, _UniformRandomNumberGenerator &__urng)
 
template<typename _UniformRandomNumberGenerator >
void __generate (result_type *__f, result_type *__t, _UniformRandomNumberGenerator &__urng, const param_type &__p)
 
result_type max () const
 
result_type min () const
 
_RealType n () const
 
template<typename _UniformRandomNumberGenerator >
result_type operator() (_UniformRandomNumberGenerator &__urng)
 
template<typename _UniformRandomNumberGenerator >
result_type operator() (_UniformRandomNumberGenerator &__urng, const param_type &__p)
 
param_type param () const
 
void param (const param_type &__param)
 
void reset ()
 

Friends

template<typename _RealType1 , typename _CharT , typename _Traits >
std::basic_ostream< _CharT, _Traits > & operator<< (std::basic_ostream< _CharT, _Traits > &__os, const std::student_t_distribution< _RealType1 > &__x)
 
bool operator== (const student_t_distribution &__d1, const student_t_distribution &__d2)
 
template<typename _RealType1 , typename _CharT , typename _Traits >
std::basic_istream< _CharT, _Traits > & operator>> (std::basic_istream< _CharT, _Traits > &__is, std::student_t_distribution< _RealType1 > &__x)
 

Detailed Description

template<typename _RealType = double>
class std::student_t_distribution< _RealType >

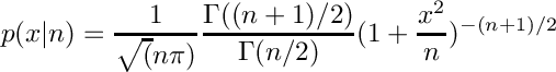
A student_t_distribution random number distribution.

The formula for the normal probability mass function is:

\[
    p(x|n) = \frac{1}{\sqrt(n\pi)} \frac{\Gamma((n+1)/2)}{\Gamma(n/2)}
             (1 + \frac{x^2}{n}) ^{-(n+1)/2} 
\]

Definition at line 3333 of file random.h.

Member Typedef Documentation

◆ result_type

template<typename _RealType = double>
typedef _RealType std::student_t_distribution< _RealType >::result_type

The type of the range of the distribution.

Definition at line 3340 of file random.h.

Constructor & Destructor Documentation

◆ student_t_distribution() [1/3]

template<typename _RealType = double>
std::student_t_distribution< _RealType >::student_t_distribution ( )
inline

Definition at line 3372 of file random.h.

◆ student_t_distribution() [2/3]

template<typename _RealType = double>
std::student_t_distribution< _RealType >::student_t_distribution ( _RealType  __n)
inlineexplicit

Definition at line 3375 of file random.h.

◆ student_t_distribution() [3/3]

template<typename _RealType = double>
std::student_t_distribution< _RealType >::student_t_distribution ( const param_type __p)
inlineexplicit

Definition at line 3380 of file random.h.

Member Function Documentation

◆ __generate() [1/4]

template<typename _RealType = double>
template<typename _ForwardIterator , typename _UniformRandomNumberGenerator >
void std::student_t_distribution< _RealType >::__generate ( _ForwardIterator  __f,
_ForwardIterator  __t,
_UniformRandomNumberGenerator &  __urng 
)
inline

Definition at line 3453 of file random.h.

◆ __generate() [2/4]

template<typename _RealType = double>
template<typename _ForwardIterator , typename _UniformRandomNumberGenerator >
void std::student_t_distribution< _RealType >::__generate ( _ForwardIterator  __f,
_ForwardIterator  __t,
_UniformRandomNumberGenerator &  __urng,
const param_type __p 
)
inline

Definition at line 3460 of file random.h.

◆ __generate() [3/4]

template<typename _RealType = double>
template<typename _UniformRandomNumberGenerator >
void std::student_t_distribution< _RealType >::__generate ( result_type __f,
result_type __t,
_UniformRandomNumberGenerator &  __urng 
)
inline

Definition at line 3467 of file random.h.

◆ __generate() [4/4]

template<typename _RealType = double>
template<typename _UniformRandomNumberGenerator >
void std::student_t_distribution< _RealType >::__generate ( result_type __f,
result_type __t,
_UniformRandomNumberGenerator &  __urng,
const param_type __p 
)
inline

Definition at line 3473 of file random.h.

◆ max()

template<typename _RealType = double>
result_type std::student_t_distribution< _RealType >::max ( ) const
inline

Returns the least upper bound value of the distribution.

Definition at line 3427 of file random.h.

References std::numeric_limits< _Tp >::max().

◆ min()

template<typename _RealType = double>
result_type std::student_t_distribution< _RealType >::min ( ) const
inline

Returns the greatest lower bound value of the distribution.

Definition at line 3420 of file random.h.

References std::numeric_limits< _Tp >::lowest().

◆ n()

template<typename _RealType = double>
_RealType std::student_t_distribution< _RealType >::n ( ) const
inline

Definition at line 3398 of file random.h.

◆ operator()() [1/2]

template<typename _RealType = double>
template<typename _UniformRandomNumberGenerator >
result_type std::student_t_distribution< _RealType >::operator() ( _UniformRandomNumberGenerator &  __urng)
inline

Generating functions.

Definition at line 3435 of file random.h.

References std::sqrt().

◆ operator()() [2/2]

template<typename _RealType = double>
template<typename _UniformRandomNumberGenerator >
result_type std::student_t_distribution< _RealType >::operator() ( _UniformRandomNumberGenerator &  __urng,
const param_type __p 
)
inline

Definition at line 3440 of file random.h.

◆ param() [1/2]

template<typename _RealType = double>
param_type std::student_t_distribution< _RealType >::param ( ) const
inline

Returns the parameter set of the distribution.

Definition at line 3405 of file random.h.

◆ param() [2/2]

template<typename _RealType = double>
void std::student_t_distribution< _RealType >::param ( const param_type __param)
inline

Sets the parameter set of the distribution.

Parameters
__paramThe new parameter set of the distribution.

Definition at line 3413 of file random.h.

◆ reset()

template<typename _RealType = double>
void std::student_t_distribution< _RealType >::reset ( )
inline

Resets the distribution state.

Definition at line 3388 of file random.h.

References std::normal_distribution< _RealType >::reset(), and std::gamma_distribution< _RealType >::reset().

Friends And Related Function Documentation

◆ operator<<

template<typename _RealType = double>
template<typename _RealType1 , typename _CharT , typename _Traits >
std::basic_ostream< _CharT, _Traits > & operator<< ( std::basic_ostream< _CharT, _Traits > &  __os,
const std::student_t_distribution< _RealType1 > &  __x 
)
friend

Inserts a student_t_distribution random number distribution __x into the output stream __os.

Parameters
__osAn output stream.
__xA student_t_distribution random number distribution.
Returns
The output stream with the state of __x inserted or in an error state.

◆ operator==

template<typename _RealType = double>
bool operator== ( const student_t_distribution< _RealType > &  __d1,
const student_t_distribution< _RealType > &  __d2 
)
friend

Return true if two Student t distributions have the same parameters and the sequences that would be generated are equal.

Definition at line 3484 of file random.h.

◆ operator>>

template<typename _RealType = double>
template<typename _RealType1 , typename _CharT , typename _Traits >
std::basic_istream< _CharT, _Traits > & operator>> ( std::basic_istream< _CharT, _Traits > &  __is,
std::student_t_distribution< _RealType1 > &  __x 
)
friend

Extracts a student_t_distribution random number distribution __x from the input stream __is.

Parameters
__isAn input stream.
__xA student_t_distribution random number generator engine.
Returns
The input stream with __x extracted or in an error state.

The documentation for this class was generated from the following files: