libstdc++
std::weibull_distribution< _RealType > Class Template Reference

#include <random.h>

Classes

struct  param_type
 

Public Types

typedef _RealType result_type
 

Public Member Functions

 weibull_distribution (_RealType __a, _RealType __b=_RealType(1))
 
 weibull_distribution (const param_type &__p)
 
template<typename _ForwardIterator , typename _UniformRandomNumberGenerator >
void __generate (_ForwardIterator __f, _ForwardIterator __t, _UniformRandomNumberGenerator &__urng)
 
template<typename _ForwardIterator , typename _UniformRandomNumberGenerator >
void __generate (_ForwardIterator __f, _ForwardIterator __t, _UniformRandomNumberGenerator &__urng, const param_type &__p)
 
template<typename _UniformRandomNumberGenerator >
void __generate (result_type *__f, result_type *__t, _UniformRandomNumberGenerator &__urng, const param_type &__p)
 
_RealType a () const
 
_RealType b () const
 
result_type max () const
 
result_type min () const
 
template<typename _UniformRandomNumberGenerator >
result_type operator() (_UniformRandomNumberGenerator &__urng)
 
template<typename _UniformRandomNumberGenerator >
result_type operator() (_UniformRandomNumberGenerator &__urng, const param_type &__p)
 
param_type param () const
 
void param (const param_type &__param)
 
void reset ()
 

Friends

bool operator== (const weibull_distribution &__d1, const weibull_distribution &__d2)
 

Detailed Description

template<typename _RealType = double>
class std::weibull_distribution< _RealType >

A weibull_distribution random number distribution.

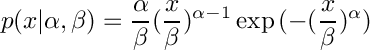
The formula for the normal probability density function is:

\[
    p(x|\alpha,\beta) = \frac{\alpha}{\beta} (\frac{x}{\beta})^{\alpha-1}
                        \exp{(-(\frac{x}{\beta})^\alpha)} 
\]

Definition at line 4923 of file random.h.

Member Typedef Documentation

◆ result_type

template<typename _RealType = double>
typedef _RealType std::weibull_distribution< _RealType >::result_type

The type of the range of the distribution.

Definition at line 4930 of file random.h.

Constructor & Destructor Documentation

◆ weibull_distribution() [1/3]

template<typename _RealType = double>
std::weibull_distribution< _RealType >::weibull_distribution ( )
inline

Definition at line 4967 of file random.h.

◆ weibull_distribution() [2/3]

template<typename _RealType = double>
std::weibull_distribution< _RealType >::weibull_distribution ( _RealType  __a,
_RealType  __b = _RealType(1) 
)
inlineexplicit

Definition at line 4970 of file random.h.

◆ weibull_distribution() [3/3]

template<typename _RealType = double>
std::weibull_distribution< _RealType >::weibull_distribution ( const param_type __p)
inlineexplicit

Definition at line 4975 of file random.h.

Member Function Documentation

◆ __generate() [1/3]

template<typename _RealType = double>
template<typename _ForwardIterator , typename _UniformRandomNumberGenerator >
void std::weibull_distribution< _RealType >::__generate ( _ForwardIterator  __f,
_ForwardIterator  __t,
_UniformRandomNumberGenerator &  __urng 
)
inline

Definition at line 5045 of file random.h.

◆ __generate() [2/3]

template<typename _RealType = double>
template<typename _ForwardIterator , typename _UniformRandomNumberGenerator >
void std::weibull_distribution< _RealType >::__generate ( _ForwardIterator  __f,
_ForwardIterator  __t,
_UniformRandomNumberGenerator &  __urng,
const param_type __p 
)
inline

Definition at line 5052 of file random.h.

◆ __generate() [3/3]

template<typename _RealType = double>
template<typename _UniformRandomNumberGenerator >
void std::weibull_distribution< _RealType >::__generate ( result_type __f,
result_type __t,
_UniformRandomNumberGenerator &  __urng,
const param_type __p 
)
inline

Definition at line 5059 of file random.h.

◆ a()

template<typename _RealType = double>
_RealType std::weibull_distribution< _RealType >::a ( ) const
inline

Return the $a$ parameter of the distribution.

Definition at line 4990 of file random.h.

◆ b()

template<typename _RealType = double>
_RealType std::weibull_distribution< _RealType >::b ( ) const
inline

Return the $b$ parameter of the distribution.

Definition at line 4997 of file random.h.

◆ max()

template<typename _RealType = double>
result_type std::weibull_distribution< _RealType >::max ( ) const
inline

Returns the least upper bound value of the distribution.

Definition at line 5026 of file random.h.

References std::numeric_limits< _Tp >::max().

◆ min()

template<typename _RealType = double>
result_type std::weibull_distribution< _RealType >::min ( ) const
inline

Returns the greatest lower bound value of the distribution.

Definition at line 5019 of file random.h.

◆ operator()() [1/2]

template<typename _RealType = double>
template<typename _UniformRandomNumberGenerator >
result_type std::weibull_distribution< _RealType >::operator() ( _UniformRandomNumberGenerator &  __urng)
inline

Generating functions.

Definition at line 5034 of file random.h.

References std::weibull_distribution< _RealType >::operator()().

Referenced by std::weibull_distribution< _RealType >::operator()().

◆ operator()() [2/2]

template<typename _RealType >
template<typename _UniformRandomNumberGenerator >
weibull_distribution< _RealType >::result_type std::weibull_distribution< _RealType >::operator() ( _UniformRandomNumberGenerator &  __urng,
const param_type __p 
)

Definition at line 2505 of file bits/random.tcc.

◆ param() [1/2]

template<typename _RealType = double>
param_type std::weibull_distribution< _RealType >::param ( ) const
inline

Returns the parameter set of the distribution.

Definition at line 5004 of file random.h.

◆ param() [2/2]

template<typename _RealType = double>
void std::weibull_distribution< _RealType >::param ( const param_type __param)
inline

Sets the parameter set of the distribution.

Parameters
__paramThe new parameter set of the distribution.

Definition at line 5012 of file random.h.

◆ reset()

template<typename _RealType = double>
void std::weibull_distribution< _RealType >::reset ( )
inline

Resets the distribution state.

Definition at line 4983 of file random.h.

Friends And Related Function Documentation

◆ operator==

template<typename _RealType = double>
bool operator== ( const weibull_distribution< _RealType > &  __d1,
const weibull_distribution< _RealType > &  __d2 
)
friend

Return true if two Weibull distributions have the same parameters.

Definition at line 5069 of file random.h.


The documentation for this class was generated from the following files: